
Soap flushing is the most effective method for monitoring adult ABWs. Here is a flagged-out 1-square-foot plot along with soap extraction equipment: 5-gallon collapsible water jug, beaker for mixing, dishwashing detergent, 1-fluid-ounce cup for measuring soap and marked cup for dispensing soap solution. Photo by Albrecht Koppenhöfer
The annual bluegrass weevil (ABW), Listronotus maculicollis, is one of the most difficult-to-control turfgrass insect pests in North America, with widespread resistance to insecticides from several classes (3). To delay resistance development, control products should only be applied when and where necessary, which requires effective monitoring and sampling methods.
The ABW damage threshold is estimated at 30-80 larvae per square foot (0.093 square meter) (4) but may vary considerably with soil moisture, mowing height, grass species composition, temperature and potentially other factors. Adult densities requiring control measures are even less understood since larval densities arising from a given adult density could be affected by all the above factors. Adult densities of over 10 per square foot are likely to result in potentially damaging larval densities (AMK; personal observations).
Larval monitoring has greater predictive power than adult monitoring since larvae are the damaging stage and is widely used by scientists and consultants. However, larval sampling methods (submersion of turf cores in saline solution or heat extraction of cores) are more time-consuming and disruptive to the turf. The monitoring methods most likely to be used by superintendents involve sampling adult ABWs.
Vacuuming using a leaf blower with inverted air flow is the only method that has been explored regarding the prediction of larval populations (2). The method was developed on fairway turf and involves repeated vacuuming of standard-size samples during the spring migration of overwintered ABW adults until they are past peak densities. However, the adult ABW extraction efficiency of the method was not determined.
Adult ABWs can be quantified in mower clippings. In greenhouse experiments under constant and ideal conditions, the percentage of adults picked up by mowing was inversely related to mowing height, reaching 26%-38% at the lowest height (0.1 inch; 2.5 millimeters) (1). These observations need to be confirmed in the field under varying temperatures.
Soap flushing involves the application of water mixed with liquid dishwashing detergent to a specified area to irritate the adult ABWs to move to the surface and climb up the grass blades, where they can be counted.
The goal of this research was to optimize sampling/monitoring methods for ABW adults and determine the effects of mowing height and environmental temperatures on their extraction efficiency to ultimately increase their predictive power.

Mowing of greens-height plots to pick up adult ABW. Photo by Olga Kostromytska
Insects and general methodology
ABW adults to be released in mark-and-recapture experiments were collected from infested greens and marked with color powder (Day-Glo A-19, DayGlow Color Corp., Cleveland). Experiments were conducted in turfgrass fields at Rutgers Horticulture Farm No. 2 (East Brunswick, N.J.) that were maintained using standard conditions for golf course putting greens or fairways (henceforth referred to as greens and fairways) and consisted of mixtures of annual bluegrass (Poa annua) and creeping bentgrass (Agrostis stolonifera). Fairways were mowed three times per week at 0.375-inch (0.95 centimeters) height, greens daily at 0.125 inch (3.2 millimeters).
ABW in mower clippings: Effect of mowing height and turf brush
Methods. The experiment was conducted on a green and a fairway with low natural ABW densities. In both fields, six plots of 6 feet × 2 feet (183 centimeters × 61 centimeters) arranged in parallel were flagged out per experimental runs. Forty color-marked ABW adults were released in the center of the plot and allowed to disperse for 40 minutes. Then, the plots were mowed individually with a walk-behind mower (Toro Greensmaster Flex; 21-inch [53-centimeter] cutting width; The Toro Co., Bloomington, Minn.), making one pass down the long side of the plot. Grass clippings were collected separately for each plot. Half of the plots were mowed with a brush pad (TurfTrainer, North Scituate, Mass.) attached to the front of the mower basket, the other half without a brush attached.
Directly after mowing, we determined the number of adult ABWs remaining in the plots with a soap flush. One half gallon (2 liters) of dishwashing detergent solution (0.4% Joy Ultra lemon-scent, Procter & Gamble, Cincinnati) was distributed over the center 2 feet × 2 feet (61 centimeters × 61 centimeters) of each plot at the beginning of a 15-minute observation period and again five minutes later. Adults were collected for 15 minutes from the soaped area and examined under a dissection microscope. Runs were conducted on May 24, 2018, (9-10 a.m., sunny, 64-70 F/18-21 C) and May 25, 2018, (9-10 a.m., sunny, 73-77 F/23-25 C). The last mowing of the areas occurred 24 hours (green) and 48 hours (fairway) before the experimental mowing.
Results. To adjust for differences in the recovery rate between the fairway and the green, data were converted into percentage recovery (adults in clippings divided by adults in clippings plus soap flush). Recovery in the clippings was the lowest from the fairway with and without a brush (0.5%), significantly higher from the green without a brush (15%), and highest from the green with a brush (24%). Of the adults recovered from the green clippings, 70% were alive and undamaged, 16% alive with minor damage and 14% dead.

Test plots were vacuumed using a leaf blower with inverted air flow. Photo by Ana Luisa Sousa
Vacuuming ABW: Effect of mowing height
Methods
In a green and a fairway, plots (3 feet × 3 feet; 91 centimeters × 91 centimeters) were arranged in rows with a 3-foot buffer. Forty color-marked ABW adults were released in the center of each plot. After 40 minutes, adults were vacuumed up using a leaf blower (Echo ES-250 Shred ‘N’ Vac, ECHO Inc., Lake Zurich, Ill.) with inverted air flow and fitted with a mesh insert to capture adults. It was set to full power and dragged across the turf at 2 mph (3.2 km/h), with the intake opening tube tight on the surface. Treatments consisted of (1) no vacuuming, (2) vacuuming entire plot for 15 seconds and (3) vacuuming entire plot twice (total of 30 seconds). There were four replicates per treatment per experimental run. Directly after vacuuming, we determined the number of adults remaining in the plots by soap flushing the entire plot (same method as above). Experimental runs were conducted on May 24, 2018, (10-11 a.m., sunny, 70-74 F/21-23 C) and May 25, 2018, (10-11 a.m., sunny, 77-81 F/25-27 C).
Results
Percentage recovery (adults vacuumed up divided by the total of adults vacuumed and soap flushed) was significantly lower from the fairway (4% with one vacuum pass; 5% with two passes) than from the green (29% with one pass; 33% with two passes) but did not differ between one and two passes (Figure 1).

Color-marked adult ABW used for release-and-recapture. Photo by Albrecht Koppenhöfer
Soaping ABW: Water volume, detergent concentration, extraction time
Methods
Experiments were conducted in a naturally infested fairway. Plots (1 square foot; 30.5 centimeters × 30.5 centimeters) were arranged in a randomized complete block design with 1-foot buffers between plots. Soap solution was applied from a beaker throughout the plots. Emerged ABW adults were collected and counted at 5, 10, 15 and 20 minutes after the first application.
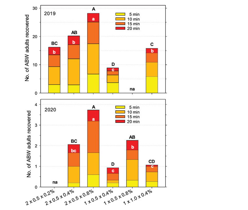
In 2019, treatments were (1-3) two applications (at zero and five minutes of observation period) of 1.06 pints (0.5 liters) soap solution at 0.2%, 0.4% and 0.8% detergent; (4-5) one application (at zero minutes) of 1.06 pints and 2.12 pints (1 liter) of 0.4% solution. The experiment was run four times with a total of 19 replicates (April 22, 10-11 a.m., 55-59 F/12.8-15 C; April 23, 9:30-10:30 a.m., 59-63 F/15-17.2 C; April 29, 10:30-11:30 a.m., 50-54 F/10-12.2 C; May 6, 10:30-11:30 a.m., 57-59 F/13.8-15 C). In 2020, treatments were (1-2) two applications (at zero and five minutes) of 1.06 pints solution at 0.4% and 0.8% detergent; (3-4) one application (at zero minutes) of 1.06 pints solution at 0.4% and 0.8% detergent; and (5) one application (at zero minutes) of 2.12 pints solution at 0.4% detergent (see also Figure 2). The experiment was run twice with a total of 15 replicates (April 4, 10-11 a.m., 46-50 F/7.8-10 C; April 7, 9:30-10:30 a.m., 54-58 F/12.2-14.4 C).
Results
In 2019, for treatments that received two applications of 1.06 pints detergent solution, the number of adults extracted increased significantly with detergent concentration (Figure 2). When the same detergent concentration (0.4%) was used, extraction increased with soap solution volume (one application of 1.06 pints versus one of 2.12 pints) and was higher when the same total amount was applied in two portions of 1.06 pints rather than all at once. Application of 2.12 pints at once resulted in significant run-off.
In 2020, the extraction efficiency also increased with the detergent concentration of the solution, both with two applications of 1.06 pints solution and one application of 1.06 pints. Extraction was similar when the same total amount of 0.4% solution was applied in two portions of 1.06 pints versus 2.12 pints at once. Application of 2.12 pints at once resulted in significant run-off. Unlike in 2019, extraction was similar with one application of 2.12 pints of 0.4% soap solution and one application of 1.06 pints of 0.4% soap solution.
The highest extraction rate was observed with two applications of 1.06 pints at a 0.8% detergent concentration. The total extraction after 15 minutes and 20 minutes followed a similar pattern. Across treatments, the cumulative extraction efficiency relative to the total after 20 minutes varied more in the earlier sampling intervals (10%-41% after five minutes, 36%-72% after 10 minutes and 71%-90% after 15 minutes).

Figure 1. Percent recovery by vacuuming relative to total recovery by vacuuming and soap extraction of annual bluegrass weevil adults. Areas mowed at fairway height (Fw) and green height (Gr) were vacuumed for 15 seconds once (1vac) or twice (2vac) passages with a vacuum followed by soap extraction. Letters indicate significant differences among treatments (P < 0.05).
ABW in mower clippings: Effect of time of day
Methods
The experiment was conducted on a naturally infested green. Twelve plots of 6 feet × 3 feet arranged in parallel were mowed individually, clippings collected, and plots soap-extracted (1.06 pints of 0.8% soap solution at zero and five minutes; adults collected for 20 minutes). In each run half of the plots were mowed around 9 a.m., the others around 1:30 p.m. Runs were conducted on May 4, 2019, (59.0 F and 71.1 F/16 C and 21.7 C); May 6, 2019, (44.1 F and 64.9 F/5 C and 18.3 C); April 29, 2020, (46.0 and 66.9 F/7.8 and 19.4 C); April 28, 2022, (50.0 F and 70.0 F/10 C and 21.1 C); May 2, 2022, (54.0 F and 72.0 F/12.2 C and 22.2 C); and May 4, 2022, (55.9 F and 79.0 F/13.3 C and 26.1 C).
Results
The total number of adults recovered (adults in clippings plus soap extraction) did not differ between morning and afternoon samples. The percentage of adults collected in clippings (relative to total number from clippings plus soap extraction) was significantly higher in the afternoon (9%) than in the morning (5%). The percentage of adults collected in clippings increased with temperature.

Figure 2. Recovery of annual bluegrass weevil adults in experiments conducted in 2019 and 2020 from areas mowed at fairway height with soap solution flushes at different application frequencies (1x at 0 minutes or 2x at 0 and at 5 minutes), water volumes (0.5 liter or 1 liter per application), and detergent concentrations (0.2%, 0.4% or 0.8%). Adults were collected at 5, 10, 15 and 20 minutes after the first application of soap solution.
Vacuuming and soap flushing ABW: Effect of time of day
Methods
The experiment was conducted on naturally infested greens and fairways. Plots (3 feet × 3 feet) were arranged in a randomized completed block design with eight replicates per run. Treatments were (1) no vacuuming and (2) vacuuming the entire plot for 15 seconds. After vacuuming, any remaining adults were soap-extracted in the central 1-square-foot area in each plot (1.06 pints of 0.8% soap solution at zero and five minutes; adults collected for 20 minutes). Runs were conducted around 9 a.m. and 1:30 p.m. in 2020 on April 29 (54.0 F and 69.1 F/12.2 C and 20.6 C) and April 30 (59.0 F and 68.0 F/15 C and 20 C).
Results
Recovery using soap alone was not significantly affected by time of day in the fairway and the green. The percentage of adults recovered by vacuuming (relative to the total from vacuum plus soap) was not affected by time of day but was higher in the green (5%-6%) than the fairway (2%).
Conclusions
Soap flushing is the most effective method for monitoring adult ABW populations and is not significantly affected by temperature and mowing height. Vacuuming and, especially, clippings monitoring are less efficient and affected by mowing height, and clippings monitoring is also affected by temperature. However, other factors (speed, convenience) not tested here need to be considered as well in determining the usefulness of each method in IPM programs in golf courses.
Soap flushing worked best with the application of 1.06 pints of 0.8% detergent solution per square foot sample at zero and five minutes of a 20-minute observation period. In an ongoing study, we found 0.6% detergent to be at least as effective as 0.8%. Since 0.4% solution extracted 75%-80% of marked adults, and 0.8% extracted 1.6 times as many adults as 0.4% in the study with natural populations, 0.6%-0.8% detergent solution should extract close to 100% of adults present. For the sake of saving time, the observation period could be shortened from 20 to 15 minutes, at which time we already recovered around 89% of the adults recovered after 20 minutes.
In our experience, five 1-square-foot samples can be easily conducted in parallel by one person, allowing for a good representation of a larger monitoring area. If adults are collected every five minutes for 15 minutes, the total time taken to sample an area is about 25 minutes, including setting up, preparing the soap solution, collecting adults, rinsing the plots with water and collecting all the material when complete. Sampling five samples requires 1.3 gallons of water (4.9 liters) for the soap solution and 1.3 gallons for rinsing the plots. The water can be transported in large collapsible plastic jugs, many of which fit on the back of a typical golf course utility vehicle, allowing for the sampling of many areas. The soap solution is then prepared on each sampling site by adding the water first to a mixing container followed by the soap that is then carefully stirred in to minimize foaming.
Vacuuming might be a viable alternative on greens, if the transportation of sufficient amounts of water may be problematic for soap flushing and if time constraints are more important than precision. Vacuuming can be performed with little equipment to carry around, but the extraction efficiency, at least on fairways, is low (2%-4%). To sample an area adequately, at least three passes of at least 10 seconds each should be conducted based on our empirical observations. Executing a pass would take about one minute, followed by one to about four minutes to go through the sample, depending on how much debris is picked up by the vacuum, which would be minimal on greens but can be significant on fairways. As samples cannot be taken simultaneously by one person, three 10-second samples can be taken accordingly in about six to 15 minutes.
The research says
- Soap flushing using 0.6-0.8% detergent solution in two portions of 1.06 pints per 1-square-foot sample is the most efficient ABW adult sampling method, extracting over 75% of the adults and not affected by environmental temperature or time of day.
- Vacuuming is more effective for sampling adult ABWs on greens (4%-29% extracted) than on fairways (2%-4%) and is not affected by the time of day.
- ABW adults can be sampled from mower clippings on greens but not fairways, but the efficiency decreases with the temperature.
- 70% of ABW adults recovered in green clippings are unharmed.
Funding
This research was supported by grants from the Rutgers Center for Turfgrass Science and the USGA.
Acknowledgments
The authors thank Ryan Geisert, Rebbeka Figueiredo, Victoria Appel and T.J. Lawson for technical assistance, and the maintenance staff of Rutgers Horticulture Farm No. 2 for help with the field study. This article was based on a published paper, “Optimizing sampling technique parameters for increased precision and practicality of annual bluegrass weevil population monitoring” by A.L. Sousa, O.S. Kostromytska, S. Wu and A.M. Koppenhöfer in 2023 in Insects (14:509).
Literature cited
- Czyzewski, B.D., and B.A. McGraw. 2017. Mowing height influences Listronotus maculicollis (Coleoptera: Curculionidae) oviposition behavior and mechanical removal from golf course putting greens, but not larval development. Journal of Economic Entomology 110(5):2165-2171 (https://doi.org/10.1093/jee/tox192).
- McGraw, B.A., and A.M. Koppenhöfer. 2009. Development of binomial sequential sampling plans for forecasting Listronotus maculicollis (Coleoptera: Curculionidae) larvae based on the relationship to adult counts and turfgrass damage. Journal of Economic Entomology 102(3):1325-1335 (https://doi.org/10.1603/029.102.0360).
- McGraw, B.A., and A.M. Koppenhöfer. 2017. A survey of regional trends in annual bluegrass weevil (Coleoptera: Curculionidae) management on golf courses in eastern North America. Journal of Integrated Pest Management 8(1):1-11 (https://doi.org/10.1093/jipm/pmw014).
- Vittum, P.J. 2020. Turfgrass Insects of the United States and Canada, third edition. Cornell University Press, Ithaca, N.Y.
Albrecht M. Koppenhöfer (a.koppenhofer@rutgers.edu) is an Extension specialist in the Department of Entomology, Rutgers University, New Brunswick, N.J. Ana Luiza Sousa is a researcher in Syngenta Seeds Development - R&D Innovation Center, Malta, Ill. Olga S. Kostromytska is an Extension assistant professor in the Stockbridge School of Agriculture, University of Massachussets, Amherst. Shaohui Wu is an assistant professor in the Department of Entomology, Ohio State University, Columbus.