
Figure 1. The test area for the study of the efficacy of some biopesticides on dollar spot control in 2017 at the O.J. Noer Turfgrass Research and Education Facility in Madison, Wis. Photos by Paul Koch
Dollar spot (caused by Clarireedia jacksonii) is one of the most important foliar diseases of golf course turfgrass. Dollar spot can occur throughout the growing season in temperate climates, and a lack of highly effective cultural controls has resulted in heavy reliance on fungicides (3). In fact, more fungicides are used to manage dollar spot than any other turfgrass disease. Interest in alternatives to traditional fungicides for dollar spot control is strong for numerous reasons, including strict fungicide restrictions in some regions, the continued development of fungicide-resistant fungal populations, and improved human and environmental health.
One alternative control mechanism is biological control, which is the use of one or more living organisms to suppress pathogen activity. Biological control can be achieved via direct control of the pathogen through the release of antifungal compounds, or via indirect mechanisms like outcompeting the pathogen for space or food (2, 4).
Numerous biological pesticides have been brought to the agricultural, horticultural and turfgrass markets in recent years. Rhapsody (Bayer) contains the bacteria Bacillus subtilis strain QST 732 and is labeled for a broad range of foliar plant pathogens, including C. jacksonii in turfgrass. Serenade Opti (Bayer) also contains B. subtilis strain QST 732, but the formulation is 26.2% active ingredient, compared with 1.34% active ingredient in Rhapsody. Serenade Opti is labeled for a wide range of horticultural crop foliar diseases but is not labeled on turfgrass. Double Nickel LC (Certis USA) contains the bacteria B. amyloliquefaciens strain D747 and is also labeled for a broad range of common foliar plant pathogens (Alternaria, Botrytis, Sclerotinia), but it is not currently labeled for use against turfgrass diseases. Nortica (Bayer) contains the bacteria B. firmus strain 1-1582 and has been primarily marketed as a nematode control agent in turfgrass. A more recent addition to the market, Zio (SePRO), contains the bacteria Pseudomonas chlororaphis strain AFS009 and is labeled for a broad range of foliar pathogens on turfgrass and other crops, including C. jacksonii. Actinovate AG (Valent) contains the bacteria Streptomyces lydicus strain WYEC 108 and is labeled for a number of foliar diseases on horticultural crops but is not labeled for use on turfgrass.
Another alternative to traditional fungicides for dollar spot control are plant-based products like tea tree and mineral oils. In turfgrass, the most commonly used oil-based plant protectant is Civitas, an Organic Material Review Institute (OMRI)-certified combination of food-grade isoparaffins mixed with an emulsifier. Civitas (Suncor Energy) has limited antifungal activity and is believed to provide disease suppression through up-regulation of plant defense response. Civitas has shown promise against several turfgrass diseases, most notably dollar spot and snow molds. Oil from the tea tree plant [Melaleuca alternifolia (Maiden & Betche) Cheel] has also been used as a plant-derived antifungal compound in recent years. Tea tree oil, included in commercial products such as Timorex Gold (Summit Agro), suppresses a broad range of fungal plant pathogens by disrupting fungal cell membranes and cell walls. Timorex Gold is labeled against a very broad range of foliar pathogens on a large number of agronomic and horticultural crops, but it is not currently labeled for use on turfgrass.
The use of biological and oil-based products remains limited despite their promise and prevalence. The primary reason for their limited use is their poor and/or inconsistent level of disease control, which is often unacceptable for commercial turfgrass management. One of the most commonly used and respected analyses of turfgrass fungicides is “Chemical Control of Turfgrass Diseases” (1). In this analysis, Rhapsody was rated as a 1 on a 4-point scale for dollar spot control (1 was defined as “control is inconsistent between experiments but performs well in some instances”). In this same analysis, Civitas was rated as a 2 (defined as “fair to good control in most experiments”) for dollar spot control, while not enough information was available to provide a rating for Zio. In addition, disease suppression using Civitas has often been modest, and application in concert with synthetic fungicides is commonly required to achieve acceptable disease control.
Identifying one or more successful biological or oil-based products to control dollar spot would be a significant advancement toward ecologically conscious management of golf courses. The objectives for this study were: (1) to assess the field efficacy against dollar spot of several commercially available biological and oil-based fungicides, and (2) to assess any turf health or phytotoxic effects of repeated use of these products. Our hypothesis was that one or more treatments would provide dollar spot suppression during periods of low disease pressure but would fail to suppress dollar spot adequately during periods of high disease pressure.
Materials and methods
Site conditions, experimental design and treatments
The study was conducted during the summers of 2017 and 2018 at the O.J. Noer Turfgrass Research and Education Facility in Madison, Wis. (Figure 1). The experimental area was a mixture of Penncross creeping bentgrass (Agrostis stolonifera L.) and annual bluegrass (Poa annua L.) grown on a mature putting green mowed five times per week at a mowing height of 0.125 inch (3.175 millimeters) and irrigated daily to replace 100% of estimated evapotranspiration.
Ten treatments were arranged in a randomized complete block design with four replications, and individual plot size measured 3 Ă— 5 feet (0.9 Ă— 1.5 meters). The 10 treatments (Table 1) included one non-treated negative control, six commercially available biological products, two oil-based products, and the synthetic fungicide Emerald (boscalid, BASF) to serve as a positive control. Treatments were initiated on May 23 in both 2017 and 2018 at rates recommended on the product label, and repeat applications were made at either 14- or 28-day intervals based on the label recommendations.
Field rating and data analysis
Disease severity of dollar spot was visually assessed by counting the number of dollar spot infection foci present in each plot. Turfgrass quality was also rated visually using the National Turfgrass Evaluation Program (NTEP) 1-9 rating scale, where 1 is dead/necrotic, 6 is minimally acceptable, and 9 is excellent. Turfgrass chlorophyll content was assessed using a FieldScout CM 1000 chlorophyll meter from Spectrum Technologies. All ratings were conducted every 14 days beginning in early June and ending in late August of both years, though only the dollar spot data is presented in this article.
Results and discussion

Figure 2. Dollar spot pressure in 2017 on the non-treated control was much higher compared with disease pressure in 2018, as seen in this photo of the research plots at the O.J. Noer Turfgrass Research and Education Facility.
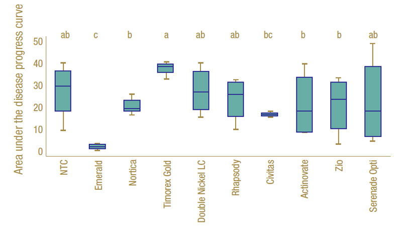
Overall, the biological and plant-based fungicides tested in this study provided only marginal dollar spot suppression compared with the non-treated control in both 2017 and 2018. Dollar spot pressure was approximately twice as high in 2017 as in 2018 (Figure 2, above), which led to greater separation between effective and non-effective treatments in 2017 (Figures 3, 4, below).
Only Emerald reduced dollar spot relative to the non-treated control in 2017 (Figures 4, 5). Of the treatments tested, Civitas was second in effectiveness, but was not statistically different from any other non-synthetic fungicide except for Nortica and Rhapsody (Figures 3, 6). The dollar spot results were similar in 2018 when dollar spot pressure was lower. Only Emerald reduced dollar spot relative to the non-treated control, and, once again, Civitas ranked second in effectiveness, but not statistically better than any other treatment except for Timorex Gold (Figure 4).

Figure 3. Dollar spot area under the disease progress curve (AUDPC) values for 2017 in Madison, Wis. Treatments with the same letter above the column are not significantly different.

Figure 4. Dollar spot area under the disease progress curve (AUDPC) values for 2018 in Madison, Wis. Treatments with the same letter above the column are not significantly different.
Analysis of individual dollar spot rating dates showed results similar to the overall analysis, though with some important differences. First, many of the oil and biological treatments provided statistically similar control to Emerald when disease pressure was lower. All treatments except for Timorex Gold provided dollar spot control similar to Emerald at least four times over the course of the combined 12 rating dates in 2017 and 2018 (Table 2). Actinovate AG and Double Nickel LC provided dollar spot control similar to Emerald five times over the 12 rating dates, while Civitas provided similar control to Emerald on nine of 12 rating dates (Table 2). The biological and oil-based treatments provided overall control that was not nearly as effective as that of Emerald, but they proved to be effective in times of low to moderate disease pressure during spring and early summer.

Figure 5. The synthetic fungicide Emerald (boscalid, BASF) was the best-performing product in both years of this research trial.

Figure 6. Civitas performed well during times of moderate pressure, but failed to provide acceptable control under high dollar spot pressure.
Of the biological and oil-based treatments evaluated in this trial, Civitas showed the greatest promise for dollar spot control. This result is in agreement with past research on Civitas and dollar spot control. However, Civitas did not provide acceptable disease suppression under moderate to high disease pressure, and in these situations will likely require mixing with synthetic fungicides to achieve acceptable disease control.
Conclusions and future research directions
The biological and oil-based products evaluated in this trial largely failed to provide adequate full-season control of dollar spot. However, certain products like Civitas significantly suppressed dollar spot during periods of low to moderate pressure and may be useful tools when these conditions are prevalent in the spring and fall.
In addition, treatments like Civitas and Nortica often provided adequate turf quality and color (data not shown) even when dollar spot control was less than adequate. This suggests that these products might be more readily integrated into disease control programs on areas of the golf course, such as fairways, where the threshold for disease might be slightly higher, or on golf courses where the clientele will tolerate a low to moderate level of disease.
Despite the limitations of biological fungicides presented here, the future of biological plant disease control remains bright. Most immediately, increasing regulations around the world are removing synthetic fungicides from many markets, leaving biological control as one of the few viable options. Seeing this opportunity, large and small manufacturers alike are increasing their investment in improved biological strains and biological product formulations. For example, in 2012, Bayer purchased the biological company AgraQuest for $425 million, and in 2017, Bayer partnered with biological startup Ginkgo Bioworks.
In addition, the increasing knowledge of microbial communities gained by recent advances in plant microbiome analysis presents exciting opportunities for holistic, effective biocontrol strategies (2). Lastly, increases in dollar spot-resistant turfgrass cultivars may lessen overall dollar spot pressure on golf courses and make biological control products more effective and attractive options. The combination of effective biological strategies, improved host resistance and reduced availability of synthetic fungicides will likely lead to increased use of biological and oil-based fungicides in future turfgrass disease management.
Acknowledgments and funding
The original version of this article appeared in the International Turfgrass Research Conference special edition of Agronomy Journal and can be accessed here. Funding for this project was provided by the John and Flora Berbee Distinguished Fellowship in Turfgrass Pathology at the University of Wisconsin-Madison. Thank you to BASF, Bayer Environmental Science, Summit Agro, Certis USA, Suncor Energy, Valent, Aquatrols and SePRO for donating the products used in this research.
Editor’s note: Get much more information on dollar spot and strategies for controlling the disease in GCM’s roundup of dollar spot resources.
The research says ...
- Biological and oil-based fungicides are appealing options for turf disease control because of their perceived lower impacts on human health and the environment.
- Certain products tested here suppressed dollar spot in low and moderate disease-pressure conditions.
- However, all the biological fungicides tested here failed to provide acceptable dollar spot control in high disease-pressure conditions.
Literature cited
- Clarke, B.B., P. Vincelli, P.L. Koch and G. Munshaw. 2020. Chemical control of turfgrass diseases 2020. University of Kentucky Publications PPA-1 (http://www2.ca.uky.edu/agcomm/pubs/ppa/ppa1/ppa1.pdf).
- Schlatter, D., L. Kinkel, L. Thomashow, D. Weller and T. Paulitz. 2017. Disease suppressive soils: New insights from the soil microbiome. Phytopathology 107:1284-1297 (https://doi.org/10.1094/PHYTO-03-17-0111-RVW).
- Walsh, B., S.S. Ikeda and G.J. Boland. 1999. Biology and management of dollar spot (Sclerotinia homoeocarpa); an important disease of turfgrass. HortScience 34:13-21 (https://doi.org/10.21273/HORTSCI.34.1.13).
- Weller, D.M., J.M. Raaijmakers, B.B. McSpadden Gardener and L.S. Thomashow. 2002. Microbial populations responsible for specific soil suppressiveness to plant pathogens. Annual Review of Phytopathology 40:309-348 (https://doi.org/10.1146/annurev.phyto.40.030402.110010).
Paul Koch is an associate professor in the Department of Plant Pathology, and Kurt Hockemeyer is the manager of the Turfgrass Diagnostic Lab at the University of Wisconsin-Madison. Emma Buczkowski received her master’s degree at the University of Wisconsin-Madison and is currently employed at Oregon Blueberry Farms and Nursery in Silverton, Ore.